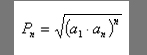
Para multiplicar n términos de una progresión geométrica utilizamos la siguiente fórmula:

Ejemplo:
Vamos a multiplicar los 7 primeros términos de la sucesión a
n= 2, 6, 18, 54, 162, ....
Es una sucesión geométrica con a
1=2 y r=3
Primero calculamos a
5 con la fórmula del término general
a
7=2· 3
7-1 = 2· 3
6 = 2·= 1.458
Particularizamos la fórmula para el producto de siete términos:

sustituyendo los valores

www.amolasmates.es