

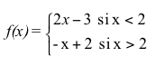
Ahora, cuando nos aproximamos a este punto por la izquierda, la función se aproxima a 1. Decimos por tanto que el límite de f(x) cuando x tiende a 2 por la izquierda es 1, y lo expresamos:
![]()
Del mismo modo, al aproximarnos a 2 por la derecha (tomando valores mayores que 2) la función se aproxima a 0. Por tanto, "el límite de f(x) cuando x tiende a 2 por la derecha es 0", lo expresamos:
Al comprobar que los límites laterales son diferentes se concluye que el límite solicitado NO EXISTE.