
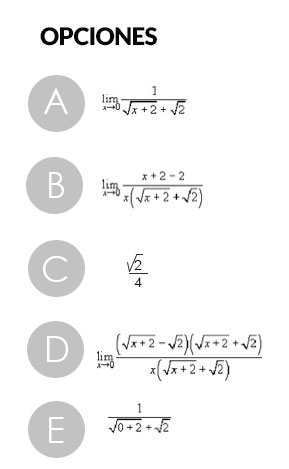
| paso1 |
| paso2 |
| paso3 |
| paso4 |
| paso5 |

se debe usar el método de racionalización, es decir, multiplicar, tanto el numerador como el denominador, por la conjugada de la expresión del numerador, luego se reducen las expresiones y se simplifica para encontrar el valor del límite