Límites

feli cont
feli cont

Ejercicios de aplicación sobre indeterminaciones


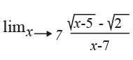
3. ¿Qué indeterminación se obtiene en este límite ejeh833 ?


noespecial

Explicación