Límites

feli cont
feli cont

Ejercicios propuestos para la aplicación de los teoremas o propiedades de los límites


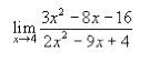
5. Indique si se puede aplicar, directamente, en este ejercicio los teoremas o propiedades de ejeh45

especial

Explicación

No es posible aplicar directamente el TL7, pues se obtendría la forma indeterminada 0/0.