
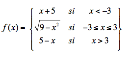
aplicando los teoremas o propiedades de los límites rellene cada cuadro respectivamente: 
A. Están solicitando el límite por la derecha de -3, que sería tomar la función
, luego el límite daría como resultado 0.
B. Están solicitando el valor de la función cuando x es 3, el resultado es 0, porque se reemplaza en la función
el valor de x = 3 dando cero ya que
=0
C. Están solicitando el valor de la función cuando x es -3, el resultado es 0, porque se reemplaza en la función
el valor de x = -3 dando cero, se debe tener cuidado con la potencia de (-3)2 que es 9 y 9 – 9 =0.
D. Están solicitando el valor del límite de función dada cuando x tiende a -3, luego se deben hallar los límites laterales, llamados también unilaterales, así:
E. Están solicitando el valor del límite de la función dada cuando x tiende a 3, luego se deben hallar los límites laterales llamados también unilaterales, así: