
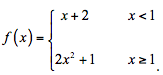
Encontrar el límite de la función cuando x tiende a 1.

Para que el límite exista se requiere que el límite por la derecha sea igual al límite por la izquierda: estos se llaman límites unilaterales.
Si se toma el límite por la izquierda, esto es, desde los números negativos hacia los positivos, la función con la que se está trabajando es la recta dado que
El signo menos como exponente en indica que se aproxima desde el lado izquierdo. Ahora, por el lado derecho,
Dado que el límite por la derecha es igual al límite por la izquierda, se dice que el límite de la función existe y vale 3:
. Este resultado se puede ver en la representación gráfica, puesto que conforme x se acera a 1, el valor de f(x) se acerca a 3.