<=Clasificación
Índice
Bcero01=>
Mapa
ECUACIONES DE SEGUNDO GRADO INCOMPLETAS (b=0):
Pasos
Completa los huecos con las palabras dadas. Al acabar pincha en "Verificar".
Animación :
Despejamos raíz
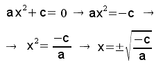
La ecuación sería:
ax
2
+ c = 0.
Es mejor usar este método específico que la fórmula general.
Los pasos son:
1º)
x
2
.
2º) Tomamos
cuadrada.
Verificar
Cerrar
<=Clasificación
Índice
Bcero01=>